In his search for varied experience and escape from everyday boredom, man has found many substances of plant origin that poison the human organism but that, at the same time, cause pleasurable physical or mental changes. The word "narcotic" technically denotes a stupor-inducing drug, but it has been loosely applied to many of these deliberately-consumed substances. Narcotics are used regularly in nearly all parts of the world, and three observations about these practices are relevant to this paper. First, man seems willing to experiment with almost anything in his environment to find new intoxicants: such bizarre materials as certain glues, morning-glory ( Ipomæa) seeds, cinnamon, and spider webs have all been put to narcotic use.
Second, persons who take narcotics often must tolerate extreme discomfort along with the pleasant effects produced by drugs.
Third, psychological factors profoundly influence individual reactions to narcotic drugs. A person seeking euphoria may find it in a chemical that does little on its own but cause dizziness.
The use of nutmeg as a narcotic illustrates all three points: nutmeg is an obscure drug, causes many alarming symptoms, and brings about pleasant mental changes only in the proper psychological context. Yet nutmeg must be considered a narcotic not only because it can induce stupor but also because many persons now consume it deliberately to escape reality.
Botanical, historical, and commercial notes on Myristica fragrans
Nutmeg and its sister-spice mace are both products of the nutmeg tree, Myristica fragrans Houtt. (Myris- ticaceae). The genus comprises about 100 species found throughout the tropics, especially in the Malayan region; but of these, M. fragrans alone contains enough of an aromatic essential oil to make it valuable for cultivation. Nutmeg is the dried seed of the plant; mace is the dried aril surrounding the shell enclosing the seed (figs. 1 and 2).
1This article is revised and adapted from "Nutmeg as a Narcotic", published in Economic Botany 19[3] : 194-217, 1965. Originally presented as a thesis for honors to the Department of Biology, Harvard University, 1964. Acknowledgment is gratefully given to Dr. Richard Evans Schultes of the Harvard Botanical Museum for his help in organizing this paper.
Note. Figures in parentheses refer to references, p. 22.
The nutmeg tree requires a hot, humid climate, and is widely cultivated in the tropics, particularly on the Spice Islands (the Moluccas), around the Strait of Malacca, and in the Caribbean (notably on Grenada).
Products of Myristica: their uses and composition
The finest mace and the finest nutmegs come from Penang, and, in general, the East Indian spices are preferred to the West Indian.
Nutmeg husks
The pericarp of the nutmeg fruit can be preserved in sugar while unripe, salted and dried as a condiment, or made into jellies. All of these preparations have the flavour of nutmeg.
Nutmeg
Ground nutmeg, a granular orange-brown powder with characteristic aroma, is a widely-known kitchen spice. It has a warm aromatic, slightly bitter taste and is often added to custards, puddings, pies, certain vegetables, and milk drinks like egg-nog. In the past, nutmeg was much used in medicine.
Whole nutmeg, depending on the variety, contains from 5 to 15 per cent of a volatile oil that accounts entirely for the aroma and flavour of the spice.
Mace
Mace, though not quite so well-known in the kitchen as nutmeg, is none the less a popular spice. It is a brownish-yellow or brownish-orange granular powder with a strong aroma closely resembling but not identical to that of nutmeg. The flavour of mace is softer and some-what less pungent than the flavour of nutmeg. Mace is
FIGURE 1
Myristica fragrans. Top: male flowering branch Middle: female flowering branch with two ripe fruits; the pericarp has split, revealing the mace-enclosed seed Bottom: details of fruit and seed structure. (Drawing after Rumphia.)
used in the manufacture of pickles and tomato ketchup, in meat and fish sauces, in chocolate dishes, cherry pie and pound cake. Like nutmeg, mace has been used in medicine.
Whole mace contains from 4 to 14 per cent of a volatile oil very similar to that found in nutmegs (2, Vol. V), along with moisture, fat, starch, etc.
Fixed oil of nutmeg
The fixed oil of nutmeg is known by many names: nutmeg butter, balsam of nutmegs, "oil of mace ", "butter of mace ", "Banda soap ", and Oleum Myris- ticae Expressum. It is obtained by exposing the nuts to hydraulic pressure and heat.
Essential oils of nutmeg and mace
The essential or volatile oils of nutmeg and mace are obtained by steam distillation. In commerce, both products go under the name "oil of nutmeg" (officially, Myristica oil or Oleum Myristicae), and, in fact, the commercial oil probably is distilled only from nutmegs since they are cheaper than mace.
Oil of nutmeg is chemically complex, as shown in the analysis by Power and Salway [3] .
Myristicin, C 11H 12O 3, constituting 4 per cent of the oil is interesting as the fraction responsible for many of the pharmacological effects of nutmeg and mace [4] .
Chemically, myristicin resembles three other aromatic ether components of Myristica oil: eugenol, isoeugenol, and safrol.
Until recently, both chemists and pharmacologists assumed the "myristicin fraction" of nutmeg oil to be
FIGURE 2
Four nutmegs. One is cut in cross-section to show the internal markings.
History of nutmeg as a medicinal agent
In Arabian medicine
Arab physicians seem to have used nutmeg as a drug from the first centuries A.D., although just how they used it is not known. Warburg wrote [1] 1 that Myristica was recommended for a variety of disorders in this early period but was taken mainly for diseases of "the digestive organs, from the mouth to the stomach to the intestines, to the liver and spleen, as well as for freckles and skin blotches ".
Later Arab physicians referred nutmeg to the class of "warm and dry drugs" and elaborated on its applications. By the 11th century, for instance, the spice was praised for its effect on the kidneys, was used to combat pain, vomiting, and lymphatic ailments, and was even considered aphrodisiac [1] 1. According to Ainslie [7] , Vol. I, though, the Arabs were using nutmeg almost solely as a hepatic and tonic by the 19th century. Oddly enough, physicians of the Near East took little notice of mace until the early 1800s when they began to prescribe it as an aphrodisiac and carminative [1] .
At the present time, nutmeg is still important in this part of the world. A pharmacologist at the Hebrew University of Jerusalem writes [8] :
"The nutmeg is used by Arabs of Israel and people of its oriental Jewish communities, especially Yemenites, as a drug of their folk medicine, as well as a spice and as an important ingredient in love-potions. It is used against vomiting and to regulate the movements of the bowels; it is good for the liver and for the spleen. It is used in the treatment of tuberculosis, against colds, fever, and, in general, respiratory ailments. It is said to be an antihelminthic and is used for that purpose. It is used against skin diseases like eczema and scabies. It is said to be effective for removing blotches from the face. To increase potentia virilis it is pounded well and added to various foods."
In Indian medicine
Frequent references in the Vedas to nutmeg indicate that the ancient Hindus knew of the spice from early times. They described it as warmth-producing, stimulating, and good for digestion and also used it in their medicinal preparations. Martius [9] said that Hindu physicians prescribed it for headache, nerve fevers, cold fevers, foul breath, and intestinal weakness.
In his Materia Indica of 1826, Ainslie [7, Vol. I] wrote that nutmeg "is considered by the natives of India as one of their most valuable medicines ...." Dymock, in 1883, noted [10] that the Moslems of western India used nutmeg as an aphrodisiac. Burkill, in 1935, stressed [11, Vol. II] nutmeg's importance in Indian tonics for dysentery. According to an adviser in the Indian Ministry of Health, nutmeg is still used medicinally in India [12] :
"It is prescribed as an analgesic in neuritic pains, as a sedative in highly tense nervous states, and as a sedative and anti-spasmodic in asthma. In view of its reaction resembling opium, it is used to give relief in the cough and hemoptysis of tuberculosis. In traditional Indian folk and domestic medicine, nutmeg is used in small quantities to induce hypnotic effect in irritable children. It is also administered as an hypnotic and sedative in epileptic convulsions."
In Western medicine
Medieval European physicians followed exactly the precepts of Arabian medicine. Consequently, they called nutmeg a warm, dry drug and recommended it for all the maladies listed earlier. Warburg wrote [1] :
"The importance of nutmeg as a medicine grew hand in hand with the increase in Indian trade during the middle ages; its use spread from the Arabian Empire over Greece and Italy and soon reached central Europe. Nutmeg gradually became a genuine folk remedy, although it was most important as a major ingredient in medicines prepared according to guild rules."
During the 16th and 17th centuries, Western physicians compiled the writings of earlier authorities on nutmeg. This was the great period of the herbalists, and nearly every herbal contained a summary of nutmeg's virtues [13] .
Doctors continued for some time to prescribe Myristica for intestinal illnesses, but by 1800 they realized that any of its effects were the same as those of other aromatics. Then, as modern pharmacy developed, older remedies, nutmeg among them, were relegated to positions of lower and lower priority. In summarizing the medicinal uses of the spice in 1897, Warburg wrote [1] :
"Today the employment of nutmeg and mace in medicine is relatively minor. Nutmeg is now used as a stomachic, stimulant, and carminative, especially in
cases of dyspepsia, intestinal catarrh and colic, and as an appetite stimulant, as well as for its ability to control flatulence...."
There is an important omission in the above catalogue of nutmeg uses: sometime later in its history-perhaps as late as the 19th century––nutmeg became known as an emmenagogue and abortifacient. This use has persisted among women into the present century; in fact, Green (14) in 1959 reported the case of 28-year-old Virginia woman who ate "18.3 g of finely ground nutmeg in an attempt to induce the menses, which had been delayed two days". Some of the older uses of the drug may also be alive in contemporary European and American folk beliefs: McCord [15] , for example, cited a 1962 incident in which a 41-year-old South Carolina man, on the advice of a friend, took two whole nutmegs to relieve a skin infection.
Myristica remained official in the United States Pharmacopeia through U. S. P. XIII (1947). Myristica oil was kept on for several more editions, principally as a flavouring agent, but was finally dropped from U. S. P. XVII (1965).
The relevance of medicinal uses of nutmeg to the present discussion of nutmeg as a narcotic is that the toxic properties of Myristica must first have been noticed when patients accidentally took overdoses.
Nutmeg poisoning
Early reports
Several European physicians of the 16th and 17th centuries described the symptoms of nutmeg poisoning, and many later references to the toxicity of Myristica are traceable to these early observations. In modern writings, the evidence of early commentators is often reduced to the sort of statement that appears in The Wealth of India with no amplification [16] "Excessive doses of nutmeg have a narcotic effect; symptoms of delirium and epileptic convulsions appear after 1-6 hours."
There is so much anecdotal material that, considered in its entirety, it makes an impressive case.
With one notable exception, poisoning by mace is not reported in the literature. G. C. Watson, in 1848, published a dramatic account of mace intoxication, characterized chiefly by bizarre alterations of consciousness and hallucinations. Symptoms persisted for three days and, again, resembled those caused by Cannabis[17] .
Wide use of Myristica as a remedy in the Far East would lead one to expect numerous cases of poisoning in that part of the world, but, oddly, no reports on any such mishaps are to be found, and it is not possible to trace to its source the inadequate statement in the
19th edition (1907) of the Dispensatory of the United States of America [18] :
" Nutmeg unites to the medicinal properties of the ordinary aromatics considerable narcotic power. In the quantity of two or three drams (7.7 or 11.6 g), it has been known to produce stupor and delirium, and dangerous if not fatal consequences are said to have followed its free use in India.’
Intoxication following the use of nutmeg as an emmenagogue or abortifacient
By far the greatest numbers of people poisoned by nutmeg have been women - mostly English and American women of the late 19th and early 20th centuries—who took the spice to bring on menstruation or induce abortion. A great many of these cases appeared in the scientific literature of the period, particularly in British medical journals. Commenting on them in 1962, McCord observed [15] :
" It is interesting that of all the instances reviewed in which nutmeg was taken as an abortifacient, this effort was successful in only one patient. Even in this instance, the role of nutmeg was open to question since the abortion followed the ingestion by a period of a month."
There are many other reports [19] , and summarizing all these data, McCord [15] attributed the poisoning symptoms to " a central nervous system depressive effect with periods of stimulation and associated respiratory and cardiovascular difficulties. Occasional case reports have suggested a possible hypersensitivity reaction as illustrated by the presence of facial and periorbital edema with flushing."
Other cases
When children accidentally eat large amounts of nutmeg, serious intoxications occur. The only fatality ever attributed to the spice occurred when an eight-yearold boy ate two whole nutmegs, became comatose, and died less than 24 hours later [20] .
The apparent "epidemic" of nutmeg poisoning around the turn of the century subsided after the First World War. Cases since then have been rare. Green’s 1959 report [14] on a 28-year-old woman, who attempted to bring on menstruation with 18.3 g of ground nutmeg, included the usual physical symptoms as well as profound mental changes that came on eight hours later.
Ample evidence is available on the toxic effects of nutmeg and mace. A puzzling feature of this evidence is its inconsistency; there seems to be no agreement on what symptoms characterize the intoxication or on what doses produce it.
Pharmacology of nutmeg
Early studies
The first pharmacological experiments on nutmeg were performed by van Leeuwenhoek, the Dutch microscopist, around 1676.
As late as 1900, little was known about the action of Myristica, largely because researchers could not agree on which component of the seed contained the active principle.
Reviewing the findings of earlier workers, Shulgin in 1963 [22] wrote that the myristicin fraction of nutmeg oil "is strongly suspect of representing the effective toxic factor for cats .... "but that it appears "ineffective in duplicating the psychological effects of total nutmeg in man ". He then speculated on possible pharmacological activity of other components of the oil:
"The minor aromatic ethers, eugenol and safrol, have been suggested as possible active components. This seems unlikely, as the amounts ingested from a 5 g nutmeg (0.001 g and 0.003 g respectively) are much below the usual therapeutic levels of these substances (3.0 ml and 0.5 ml respectively). The only component, aside from the myristicin fraction, of the volatile oil from nutmeg that deserves serious consideration as an active agent is the pinenedipentene fraction. Many descriptions of the toxic syndromes of representative terpene medicines parallel the common toxic manifestations of nutmeg (i.e., nausea, cyanosis, stupor, cold extremities, often delirium). [However] actual toxic dosages of oils that are of make-up similar to the hydrocarbon fraction of nutmeg (such as oil of turpentine) are as a rule 20 to 60 times higher than that which would be encountered in nutmeg intoxication."
Shulgin's conclusion is the best summary of our present knowledge of Myristica; "As yet, no known pharmacology of any known component of oil of nutmeg can explain the syndrome of the whole nutmeg."
Evidence of narcotic uses of Myristica fragrans
Persistence of rumours
Only one genus in the family Myristicaceae is known definitely to be used for narcotic effect. It is not Myristica but Virola-several species of South American trees whose barks yield a resin that is made into the violently toxic snuff called "yakee" or "parica" by Indians of the north-west Amazon. Medicine men use yakee for diagnosing disease or prophesying, usually inhaling up to one heaping teaspoonful of the brownish-gray powder. According to Schultes [23] , whose paper of 1954 [24] is virtually the only reference on this exotic drug, the users then "fall into a delirous stupor or sleep during which the shouts they emit are interpreted by assistants. That the intoxication can be dangerous is admitted by the medicine men themselves, and the death of one medicine man of the Puinave tribe... is laid to the use of yakee snuff." Schultes thought myristicin might also be the active principle of Virola resin.
In 1964, however, Holmstedt [25] analyzed samples of Virola snuff for tryptamines and found 5-methoxy-N,N- dimethyltryptamine to be a major component of this narcotic. He also discovered small amounts of N,N-dimethyltryptamine (DMT) and 5-hydroxy-N,N-dim-ethyltryptamine (bufotenin). The pharmacology of 5-methoxy-N,N-dimethyltryptamine is poorly understood, but both DMT and bufotenin are known psychotomi-metic drugs.
These few facts on Virola are more conclusive than most information available on the narcotic use of Myristica. It is not yet possible to say how widely nutmeg is used to induce alterations of consciousness. The medical literature is of little help in providing answers because nearly all the reported cases of nutmeg intoxication have resulted from accidental ingestions or from overdoses taken as remedies.
At the same time, there is an impressive amount of anecdotal evidence suggesting that many people througout the world consume nutmeg as a psychoactive agent. One hears persistent rumours, for instance, that Myristica serves as a narcotic in the Orient, that it is commonly taken by prison inmates, and that it has become a popular hallucinogenic drug among bohemians and students in the United States.
Is nutmeg used as a narcotic in the East ?
There is reason to believe that Indian folk practices embrace the use of nutmeg as a narcotic, though certainly not on as wide a scale as drug-takers in the U.S. seem to think. An obscure clue is one of the synonyms for nutmeg in Ayurveda: Mada shaunda, meaning "narcotic fruit ". Dr. C. Dwarakanath, of the Indian Ministry of Health, has informed me [12] that " M. fragrans is generally chewed together with betel for the slight excitement it gives. It is also consumed orally with a view to stimulating the libido. Mada shaunda refers to its narcotic action." He adds that "in certain parts of southern India, M. fragrans is mixed with tobacco snuff and used ".
A story frequently encountered is that Cannabisdevotees will turn to nutmeg when they cannot get hemp. Again, there is only one bit of published evidence - two tines from Bamford's Poisons[4] of 1951: "Within the last few years, partly owing to the difficulty in obtain- ing hashish, it has become the practice in Egypt to substitute powdered nutmeg. In sufficiently large doses this produces symptoms similar to those of hashish intoxication and the effects may even be much more severe." Unfortunately, no further information on this subject is available from Egyptian governmental agencies, and no other writer has confirmed Bamfords observation.
Is nutmeg used as a narcotic in prisons ?
Most stories in circulation in the US about nutmeg as a narcotic concern its use in prisons. If they are true, nutmeg and mace would seem to be serious problems in correctional institutions. An officer of the US Bureau of Prisons has dismissed this idea as an exaggeration [26] .However a short article on page 22 of the Chicago Sun-Timesof March 3, 1961, headlined "Nutmeg Costs a County Jail Guard His Job", proves at least that people in some prisons are familiar with Myristica.
The Director of the Addiction Research Centre at the US Public Heath Service Hospital in Lexington, Ken tucky, W. R. Martin, has said [27] that many patients he has seen believe mace and, especially, nutmeg to have "stimulating effects," usually because they have heard the prevalent rumours. He adds that patients rarely volunteer information on Myristica experiences and that the use of nutmeg or mace is far from universal; but he estimates that about one out of ten Lexington patients will admit having tried occasional self-experiments with these spices. Most persons who have used Myristica, he feels, do not attach much importance to it until they are confined within institutions. There is substantial confirmation of Martins impressions in an article by Weiss [28] describing a study on the "Hallucinogenic and Narcotic-like Effects of Powdered Myristica" conducted at the New Jersey State Prison, Trenton, in 1960. Weiss noted that many commercial and medicinal substances were used covertly by prisoners to "escape from ones self and depressing, immediate surroundings," and he wrote: " Powdered myristica ... is included among inmates repertory of alleged euphoria inducing drugs."
Weiss studied ten male inmates of the prison, most of whom had had previous experience with marihuana and other drugs. The minimum amount of ground nutmeg any man ingested was two to three tablespoonfuls, and one had once taken two cups of the spice as a single dose (apparently without unusually severe reaction or permanent systemic damage). The drug was always taken orally, usually stirred into hot liquids. Most of the subjects compared nutmeg to marihuana. One said: " It made me feel like with a marihuana cigarette" though another explained: " One reefer (i.e., a mari- huana cigarette) will get you three times as high as nutmeg; it slows your actions down."
Weiss concluded that:
"Doses of two to three tablespoonfuls of powdered nutmeg tended to narcotize the subjects against the unpleasant experience of incarceration, without a blurring of the boundaries between the self and the outer world. The effects were considered to be essentially similar to those of marihuana, although comparisons with heroin and alchohol were also cited. In most instances, a feeling of being transported aloft was experienced accompanied by a feeling of drowsiness in some cases and excitement or stimulation in others ...
"Symptoms of physicological addiction were not reported. No postive correlation was obtained between the ‘light-feeling’ and the mood experience. Nor did the mood experience, be it gay or melancholy, for example, serve as an index to whether inmates would prefer to promote social contacts or encyst themselves from them. It was also reported, in most instances, that the abiliy to enjoy certain pastimes was enhanced. In all instances of recall, thirst was increased, and hunger was largely diminished or unaffected. The various side effects reported were nausea, abdominal spasm, vomitting, constipation tachycardia, insomnia, and drowsiness.
"Two cases of acute brains syndrome with psychotic reaction due to nutmeg intoxication were reported. Each of the two subjects had chronically ingested powdered nutmeg over a long period.... Aside from the case of nutmeg poisoning, the hallucinogenic effects reported were transitory and of brief duration."
Nutmeg has since been banned from the New Jersey State Prison kitchen.
Do bohemians and students use nutmeg as narcotic?
An undergaduate at a well-known US college gives me this information:
"I recently had a visit from a ‘ beatnik’ acquaintance who smokes marihuana frequently and has tried other drugs.I asked him if he had heard that nutmeg was a narcotic, and he replied, ‘We’ve known about that for years. ‘He explained that he and many of his friends had tried nutmeg several times, taking it both as a snuff and by mouth. They did not think it was very good, however, because ‘you either get very sick or have a horrible experience.’ He said that people who like to ‘blow pot’ (i.e., smoke marihuana) sometimes take nutmeg when they can’t get marihuana."
The use of nutmeg as a psychotropic agent 21
Since all aromatic spices contain volatile compounds that affect the central nervous system, these alleged properties of familar substances are plausible. It is interesting that the narcotics-user believes different spices capable of providing different experiences- nutmeg can be "horrible" or ginger "dangerously potent ". Pharmacologists agree that psychological expectations largely determine the form of a narcotic intoxication. Consequently, a person expecting horrible effects from nutmeg may well experience them. This may explain why women poisoned accidentally by nutmeg merely become stuporous, while prisoners have predominantly pleasant times under Myristica; prisoners take the spice to escape reality, and they expect it to be much like Cannabis.
A growing problem in the United States is the use of hallucinogenic drugs like LSD and marihuana by young persons, especially students in secondary schools and universities [39] . There is some evidence that these people also try self-experiments with nutmeg.
Callaway [29] maintains that jazz musicians "have known about nutmeg for some time but will not discuss it except with friends ". Most bohemians, addicts and students who try the spice probably are equally secretive.
Experimentation with nutmeg may be widespread on American university campuses. In the summer 1964 issue of a University of Mississippi student magazine, an article titled "Nutmeg Jag" described a nutmeg party attended by eight persons.
Like prisoners, students who use marihuana may often turn to nutmeg when cut off from supplies of Cannabis. But it would seem that marihuana is obtainable with minimum difficulty around most US universities today, and there is no doubt students (like prisoners) prefer Cannabis to Myristica.
As a final word on the uses of nutmeg, there is the report of Truitt et. al.[21] that the practice of taking this spice to produce "a syndrome comparable to alcoholic inebriety" is "not uncommon among alcoholics who are deprived of alcohol ".
Psychopharmacology of mutweg: A brief note
Speculation on the psychopharmacology of nutmeg must be cautious, since, as Shulgin has said [22] , "the inability to assign to a single component of nutmeg the role of being the toxic factor makes a discussion of the mode of action, by definition, totally theoretical". ..
None the less, a few findings are interesting. Truitt and a new group of researchers in 1963 pointed out [31] "a degree of structural resemblance between the chemical formula for myristicin and those of certain sympathomimetic amines ". This similarity, together with nutmeg's stimulant action, suggested that myristicin and nutmeg may act as central monoamine oxidase (MAO) inhibitors. To test this hypothesis, synthetic myristicin and nutmeg oil concentrate were given to rats, and MAO inhibition was established by measuring potentiation of tryptamine convulsions. Controls were run with two potent known MAO inhibitors: tranylcypromine and iproniazid. By these methods, myristicin was shown to produce effects less potent than but parallel to those of the reference drugs. Myristicin was also found to antagonize reserpine ptosis and to increase brain 5-hydroxytryptamine- both of which are changes induced by other MAO inhibitors.
The authors emphasized that this was mere circumstantial evidence, but they felt that nutmeg and myristicin probably were mild MAO inhibitors. Compared to other such compounds, their toxicity is quite low. The authors cited preliminary work with schizophrenic and depressed patients in whom daily administration of ground nutmeg caused "improvements ". They concluded: ''Further study is recommended for more direct evidence of nutmeg and myristicin as enzyme in hibitors and for their utility as anti-depressant drugs."
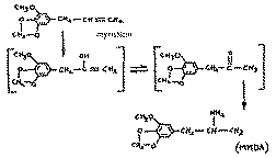
Shulgin, who has tried to work out the biochemistry of nutmeg's hallucinogenic action, has assumed [22] for the moment that the myristicin fraction of the oil (with its more than 25 per cent content of elemicin) is, indeed, the active principle. He has noted that the metabolism of the aromatic ethers found in essential oil is "virtually unknown" except for a detoxication mechanism by which safrol is converted to piperonylic acid. This reaction indicates a capacity to oxidize an olefinic side chain. Shulgin has suggested that, if this degradative process is "applicable to myristicin, or especially to elemicin, a theoretical intermediate, a vinyl alcohol, could undergo transamination producing the known psychotomimetic drug, 3,4,5-trimethoxy amphetamine (TMA) ". The recent description of the new synthetic hallucinogen - 3-methoxy-4, 5-methylenedioxy amphetamine (MMDA) - which might be derived by an analogous process from myristicin, itself, is even more suggestive of a psychotropic function for this component of nutmeg (fig. 3 b) [5] .
FIGURE 3a
Possible production of a known psychomimentic agent from elemicin
FIGURE 3b
Possible production of a known psychotomimetic agent from myristicin.
Thus far, human pharmacological data are inadequate to support the contention that myristicin is psychoactive or that it is an active principle of whole nutmeg. Shulgin has written [22] : "... some combination of factors in total nutmeg is capable of producing a psychotropic response: the structure of elemicin or myristicin wanting only an ammonia molecule to become a recognized mental agent must be accepted as at least an intriguing coincidence."
Conclusions
The seeds and arils of M. fragrans have powerful narcotic properties. In man, they have frequently caused serious but almost never fatal intoxications. Most Westerners are ignorant of these toxic properties and know nutmeg and mace only as flavouring agents.
Both spices are used as narcotics, probably by significant numbers of people, although information on this use of Myristica is scarce. When taken deliberately as psychotropics, nutmeg and mace often cause reactions quite unlike those described in classical accounts of Myristica poisoning and much more like experiences with Cannabis or other hallucinogenic drugs. Law enforcement officers and governmental authorities are not aware of the importance of nutmeg as a narcotic.
Thorough investigation of the history, sociology, and biochemistry of Myristica narcosis would be most valuable.
References
01Warburg, O., Die Muskatnuss, Leipzig, 1897.
02Guenther, E., The Essential Oils, 1952.
03Power, F. B., and Salway, A. H., "The constituents of the essential oil of nutmeg", Jour. Chem. Soc., 91: 2037-2058, 1907.
04Bamford, F., Poisons, 3rd rev. ed., Philadelphia, 1951.
05Shulgin, A. T., The possible implication of myristicin as a psychotropic substance, unpublished paper, October 1964.
06Shulgin, A. T., "Composition of the myristicin fraction from oil of nutmeg ", Nature, 197: 4865, January 26, 1963, p. 379.
07Ainslie, W., Materia Indica, London, 1826.
08Zaitschek, D. V., School of Pharmacy, Hebrew University, Jerusalem, quoted by Asaph Goor, Ministry of Agriculture of the State of Israel, Jerusalem, in personal communication, January 20, 1964.
09Von Martius, K. F. P., Beitr. z. Litteraturgesch. d. Maskatnuss u.d. Muskatbl., 1860.
10Dymock, Materia Medica of Western India, Bombay, 1883.
11Burkill, I. H., A Dictionary of the Economic Products of the Malay Peninsula, London, 1935.
12Dwarakanath, C., Adviser on Indigenous Medicine, Ministry of Health, Government of India, quoted by K. R. Ramanathan, Senior Scientific Officer, Council of Scientific and Industrial Research, New Delhi (personal communication, June 18,1964).
13See, for example, Parkinson, J., Theatrum Botanicum, London, 1640.
14Green, R. C., "Nutmeg Poisoning" , Jour. Amer. Med. Assoc., 171 (10): 1342-1344, 1959.
15McCord, J. A., and Jervey, L. P., "Nutmeg (myristicin) poisoning ". Jour. S. Carolina Med. Assoc., 58 (1): 436-438, 1962.
16The Wealth of India: Raw Materials, vol. VI, New Delhi, 1962.
17Watson, G. C., "Symptoms of poisoning after eating a quantity of mace", Prov. Med. Surg. Jour., January 26, 1848 (read before the Liverpool Medical Society, 1847).
18The Dispensatory of the United States of America, XIX, Philadelphia, 1907.
19Alexander, J., "Poisoning by nutmeg", Brit. Med. Jour., 1887-1: 1085; Bartlett, B. F., "Nutmeg poisoning", Brit. Med. Jour., 1911-11: 269; Bentlif, P. B., "Case of Poisoning by nutmeg ", Brit. Med. Jour., 1889-11: 1389; Carvell, G.H., "Poisoning by nutmeg", Brit. Med. Jour., 1887-1: 1317; Gibbins, K. M., "Nutmeg poisoning", Brit. Med. Jour., 1909-1: 1005; Hamilton, J., "Nutmeg poisoning ", Brit. Med. Jour., 1906-11: 900; Johnson, J., "Nutmeg poisoning ", Brit. Med. Jour., 1906-II: 984; Pitter, R. A., "A case of nutmeg poisoning", Lancet, 1902-I: 1035; Reekie, J. S., "Nutmeg poisoning", Jour. Amer. Med. Assoc., 52: 62, Jan. 2, 1909; Sympson, T. G., "Case of poisoning by nutmeg ", Lancet, 1895-I: 150; Smith, S. M., "Nutmeg poisoning", Lancet, 1902-I: 1798; Wilkinson, A. N., "Poisoning by nutmeg", Brit. Med. Jour., 1906-I: 539; and Wilkinson, K. D., "Nutmeg poisoning ", Brit. Med. Jour., 1911-I: 993,
20Cushny, A. R., "Nutmeg poisoning ", Proc. Royal Soc. Med., 1908-I (3): 39.
21Truitt, E. B., et al., "The pharmacology of myristicin: a contribution to the psychopharmacology of nutmeg ", Jour. Neuropsychiat., 2 (4): 205-210, 1961.
22Shulgin, A. T., "Concerning the pharmacology of nutmeg". Mind, October, 1963: 299-303.
23Shultes, R. E., "Hallucinogenic plants of the new world ", Harvard Rev., 1 (4): 18-32, 1963.
24Shultes, R. E., "A new narcotic snuff from the northwest Amazon ", Bot. Mus. Leaflets of Harvard University, 16 (9): 241-260, 1954.
25Holmstedt, B., "Tryptamine derivatives in epená-an intoxicating snuff used by some South American Indian tribes ". Arch. int. Pharmacodyn., 156 (2): 285-305, 1965.
26Alldredge, N. L., Deputy Assistant Director, United States Bureau of Prisons (personal communication, April 6, 1964).
27Martin, W. R., Director, Addiction Research Centre, United States Public Health Service Hospital, Lexington, Kentucky (personal communication, April 9, 1964).
28Weiss, G., "Hallucinogenic and narcotic-like effects of powdered myristica (nutmeg)", Psychiat. Quart., 34 (1): 346-356, 1960.
29Callaway, E., Chief of Research, The Langley Porter Neuro- psychiatric Institute, San Francisco, California (personal communication, April 6, 1964).
30See, for example, Corry, J., "Drugs: a growing campus problem ". New York Times, CXV (39,503): March 21, 1966, p. 1.
31Truitt, E. B., et al, "Evidence of monoamine oxidase inhibition by myristicin and nutmeg ", Proc. Soc. Exp. Biol. Med., 112 (3): 647-650, 1963.

